Body Mass Index Wikipedia
Calculate a Child's BMI Body Mass Index (BMI) is a measure of how much of your body is made up of fat In adults, if your BMI is above 25, but below 30 you are overweight, 30 or above and you are obese To view your child's BMI on a UK standard chart, enter the requested information and select the appropriate graph Please note this will12 13 14 15 16 17 18 19 21 22 23 24 25 26 27 28 29 30 31 32 33 34 35 36 37 38 39 40 12 13 14 15 16 17 18 19 21 22 23 24 25 26 27 28 29 30 31 32 33 34 35 36 37
Bmi 20 female child
Bmi 20 female child-BMI 19 21 22 23 24 25 26 27 28 29 30 31 32 33 34 35 36 37 38 39 40 41 42 43 44 45 46 47 48 49 50 51 52 53 54 Height (inches) Body Weight (pounds)BMI in Children aged 2 to cm (34ins) or more for women;
Body Mass Index Percentiles For Children And Adolescents In Germany Based On A Nationally Representative Sample Kiggs 03 06 European Journal Of Clinical Nutrition
Children's BMI BMI calculators for children and young people between the ages of 2 and 18 account for age, gender, height, and weight Body Mass Index values for males and females aged and over, and selected percentiles by age the United States, 11–14About BMI Chart BMI category for children and teens are considered for the age 2 to years and above years of age is considered as adult BMI According to the CDC or Centers for Disease Control, a Prevention category considered percentile calculated base on BMI and age and sex for children The child BMI charts are different for boys andThen divide this number by her height in inches again Finally, multiply this number by 703 The answer reflects your child's BMI The CDC recommends that after completing the BMI calculation, compare it to a BMI percentile chart based on your child's age and sex A healthy BMI percentile lies between the 5th percentile and the 85th percentile
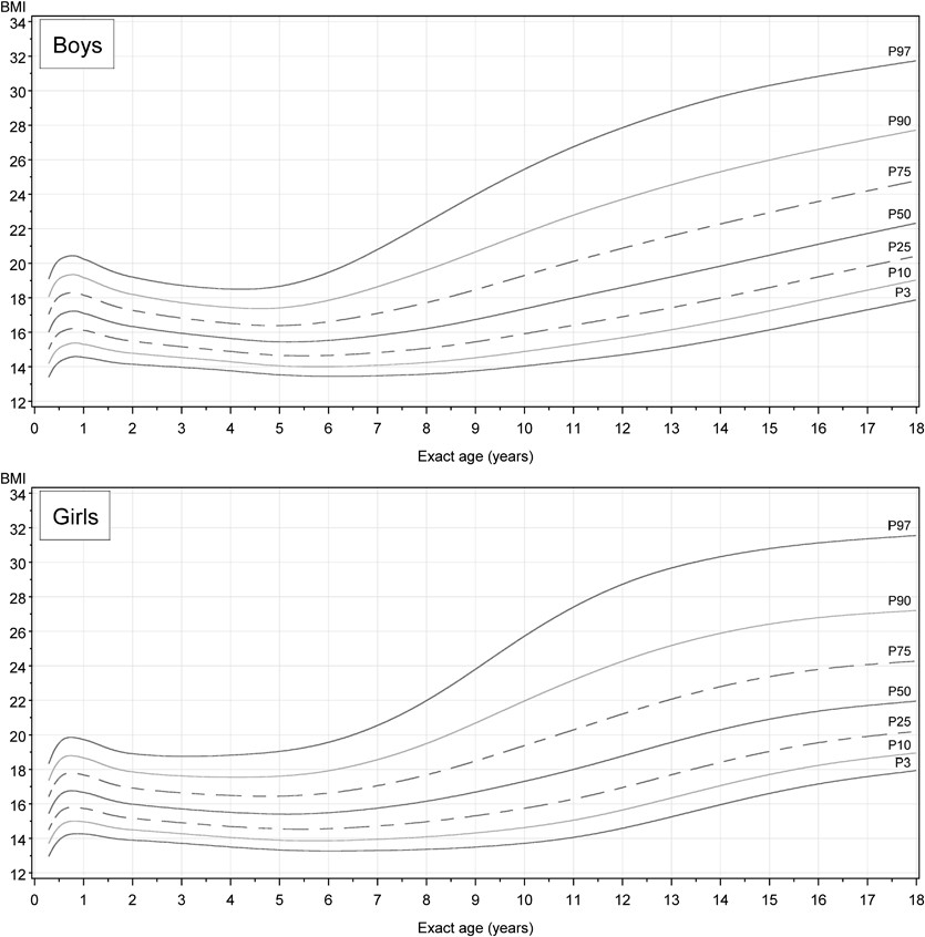
BMIforage GIRLS 5 to 19 years (percentiles) Percentiles (BMI in kg/m2) Year Month Month L M S 1st 3rd 5th 15th 25th 50th 75th 85th 95th 97th 99thSelect your child's gender (male or female) Enter your child's birth date (month/day/year) Enter your child's height Enter your child's weight Click "Calculate BMI" and then look at the chart below for the results Although not a perfect measure of body fat, BMI can help identify teens who are gaining weight too slowly or too quickly The CDC recommends using BMI percentile to measure children and young people ages 2 years to et al TriPonderal Mass Index vs Body Mass Index in Estimating Body Fat Women, people of
Bmi 20 female childのギャラリー
各画像をクリックすると、ダウンロードまたは拡大表示できます
![]() Did You Know Bmi Isn T The Same For Adults And Kids | ![]() Did You Know Bmi Isn T The Same For Adults And Kids | Did You Know Bmi Isn T The Same For Adults And Kids |
![]() Did You Know Bmi Isn T The Same For Adults And Kids | ![]() Did You Know Bmi Isn T The Same For Adults And Kids | ![]() Did You Know Bmi Isn T The Same For Adults And Kids |
![]() Did You Know Bmi Isn T The Same For Adults And Kids | ![]() Did You Know Bmi Isn T The Same For Adults And Kids | ![]() Did You Know Bmi Isn T The Same For Adults And Kids |
「Bmi 20 female child」の画像ギャラリー、詳細は各画像をクリックしてください。
![]() Did You Know Bmi Isn T The Same For Adults And Kids | ![]() Did You Know Bmi Isn T The Same For Adults And Kids | ![]() Did You Know Bmi Isn T The Same For Adults And Kids |
![]() Did You Know Bmi Isn T The Same For Adults And Kids | ![]() Did You Know Bmi Isn T The Same For Adults And Kids | ![]() Did You Know Bmi Isn T The Same For Adults And Kids |
![]() Did You Know Bmi Isn T The Same For Adults And Kids | ![]() Did You Know Bmi Isn T The Same For Adults And Kids | ![]() Did You Know Bmi Isn T The Same For Adults And Kids |
「Bmi 20 female child」の画像ギャラリー、詳細は各画像をクリックしてください。
Did You Know Bmi Isn T The Same For Adults And Kids | Did You Know Bmi Isn T The Same For Adults And Kids | ![]() Did You Know Bmi Isn T The Same For Adults And Kids |
![]() Did You Know Bmi Isn T The Same For Adults And Kids | Did You Know Bmi Isn T The Same For Adults And Kids | ![]() Did You Know Bmi Isn T The Same For Adults And Kids |
Did You Know Bmi Isn T The Same For Adults And Kids | ![]() Did You Know Bmi Isn T The Same For Adults And Kids | Did You Know Bmi Isn T The Same For Adults And Kids |
「Bmi 20 female child」の画像ギャラリー、詳細は各画像をクリックしてください。
Did You Know Bmi Isn T The Same For Adults And Kids | ![]() Did You Know Bmi Isn T The Same For Adults And Kids | ![]() Did You Know Bmi Isn T The Same For Adults And Kids |
![]() Did You Know Bmi Isn T The Same For Adults And Kids | ![]() Did You Know Bmi Isn T The Same For Adults And Kids | ![]() Did You Know Bmi Isn T The Same For Adults And Kids |
![]() Did You Know Bmi Isn T The Same For Adults And Kids | ![]() Did You Know Bmi Isn T The Same For Adults And Kids | Did You Know Bmi Isn T The Same For Adults And Kids |
「Bmi 20 female child」の画像ギャラリー、詳細は各画像をクリックしてください。
![]() Did You Know Bmi Isn T The Same For Adults And Kids | ![]() Did You Know Bmi Isn T The Same For Adults And Kids | ![]() Did You Know Bmi Isn T The Same For Adults And Kids |
Did You Know Bmi Isn T The Same For Adults And Kids | ![]() Did You Know Bmi Isn T The Same For Adults And Kids | ![]() Did You Know Bmi Isn T The Same For Adults And Kids |
![]() Did You Know Bmi Isn T The Same For Adults And Kids | ![]() Did You Know Bmi Isn T The Same For Adults And Kids | ![]() Did You Know Bmi Isn T The Same For Adults And Kids |
「Bmi 20 female child」の画像ギャラリー、詳細は各画像をクリックしてください。
![]() Did You Know Bmi Isn T The Same For Adults And Kids | ![]() Did You Know Bmi Isn T The Same For Adults And Kids | ![]() Did You Know Bmi Isn T The Same For Adults And Kids |
Did You Know Bmi Isn T The Same For Adults And Kids | ![]() Did You Know Bmi Isn T The Same For Adults And Kids | ![]() Did You Know Bmi Isn T The Same For Adults And Kids |
![]() Did You Know Bmi Isn T The Same For Adults And Kids | ![]() Did You Know Bmi Isn T The Same For Adults And Kids | ![]() Did You Know Bmi Isn T The Same For Adults And Kids |
「Bmi 20 female child」の画像ギャラリー、詳細は各画像をクリックしてください。
![]() Did You Know Bmi Isn T The Same For Adults And Kids | ![]() Did You Know Bmi Isn T The Same For Adults And Kids | Did You Know Bmi Isn T The Same For Adults And Kids |
![]() Did You Know Bmi Isn T The Same For Adults And Kids | ![]() Did You Know Bmi Isn T The Same For Adults And Kids | Did You Know Bmi Isn T The Same For Adults And Kids |
![]() Did You Know Bmi Isn T The Same For Adults And Kids | Did You Know Bmi Isn T The Same For Adults And Kids | Did You Know Bmi Isn T The Same For Adults And Kids |
「Bmi 20 female child」の画像ギャラリー、詳細は各画像をクリックしてください。
![]() Did You Know Bmi Isn T The Same For Adults And Kids | ![]() Did You Know Bmi Isn T The Same For Adults And Kids | ![]() Did You Know Bmi Isn T The Same For Adults And Kids |
![]() Did You Know Bmi Isn T The Same For Adults And Kids | ![]() Did You Know Bmi Isn T The Same For Adults And Kids | ![]() Did You Know Bmi Isn T The Same For Adults And Kids |
![]() Did You Know Bmi Isn T The Same For Adults And Kids | Did You Know Bmi Isn T The Same For Adults And Kids | ![]() Did You Know Bmi Isn T The Same For Adults And Kids |
「Bmi 20 female child」の画像ギャラリー、詳細は各画像をクリックしてください。
![]() Did You Know Bmi Isn T The Same For Adults And Kids | Did You Know Bmi Isn T The Same For Adults And Kids | ![]() Did You Know Bmi Isn T The Same For Adults And Kids |
Did You Know Bmi Isn T The Same For Adults And Kids | ![]() Did You Know Bmi Isn T The Same For Adults And Kids | ![]() Did You Know Bmi Isn T The Same For Adults And Kids |
![]() Did You Know Bmi Isn T The Same For Adults And Kids | ![]() Did You Know Bmi Isn T The Same For Adults And Kids | ![]() Did You Know Bmi Isn T The Same For Adults And Kids |
「Bmi 20 female child」の画像ギャラリー、詳細は各画像をクリックしてください。
![]() Did You Know Bmi Isn T The Same For Adults And Kids | ![]() Did You Know Bmi Isn T The Same For Adults And Kids | ![]() Did You Know Bmi Isn T The Same For Adults And Kids |
![]() Did You Know Bmi Isn T The Same For Adults And Kids | ![]() Did You Know Bmi Isn T The Same For Adults And Kids | ![]() Did You Know Bmi Isn T The Same For Adults And Kids |
Did You Know Bmi Isn T The Same For Adults And Kids | ![]() Did You Know Bmi Isn T The Same For Adults And Kids | ![]() Did You Know Bmi Isn T The Same For Adults And Kids |
「Bmi 20 female child」の画像ギャラリー、詳細は各画像をクリックしてください。
![]() Did You Know Bmi Isn T The Same For Adults And Kids | Did You Know Bmi Isn T The Same For Adults And Kids | ![]() Did You Know Bmi Isn T The Same For Adults And Kids |
![]() Did You Know Bmi Isn T The Same For Adults And Kids | ![]() Did You Know Bmi Isn T The Same For Adults And Kids | ![]() Did You Know Bmi Isn T The Same For Adults And Kids |
![]() Did You Know Bmi Isn T The Same For Adults And Kids | ![]() Did You Know Bmi Isn T The Same For Adults And Kids | ![]() Did You Know Bmi Isn T The Same For Adults And Kids |
「Bmi 20 female child」の画像ギャラリー、詳細は各画像をクリックしてください。
Did You Know Bmi Isn T The Same For Adults And Kids | ![]() Did You Know Bmi Isn T The Same For Adults And Kids | ![]() Did You Know Bmi Isn T The Same For Adults And Kids |
![]() Did You Know Bmi Isn T The Same For Adults And Kids | ![]() Did You Know Bmi Isn T The Same For Adults And Kids |
BMI Calculator for Children * Based on CDC BMIforage growth charts Our BMI calculator for kids is specially developed for children and teens from 2 to 19 years old The amount of fat is changeable along with age and differs between girls and boys Therefore, BMI formula is the calculator's basis and CDC BMIforage growth charts are used for According to the CDC, most 13yearold boys weigh between 75 and 145 lb The 50th percentile for weight in this group is around 100 lb This means that 50% of 13yearold boys weigh less than 100 lb
Incoming Term: bmi 20 female child,
:max_bytes(150000):strip_icc()/GettyImages-1076523906-9fe09b6365f149419065b58d75839a49.jpg)


.webp)

/overweight-boy-unbuttoned-jeans-794116f5a8714a2bad2146a44e121bb2.jpg)












:max_bytes(150000):strip_icc()/Pul9g-adult-bmi-chart-rgb-21-f3be2f9be45a4195b877bfbb20d0656c.jpg)




/how-obesity-is-diagnosed-4690037_FINAL-d73134c580474b429e08c006fe8ef4a8.jpg)














/boy-and-girl-with-hamburgers-155439837-5c39e9d3c9e77c0001a9a604.jpg)
/cheerful-overweight-couple-expressing-romance-in-nature-1043199660-2e3f809fdcc24d76aa6d6525f4df74d2.jpg)































/3879979-GettyImages-1263653528-3e9b41c8eb4f47b79dae821ecbeb8c35.jpg)














0 件のコメント:
コメントを投稿